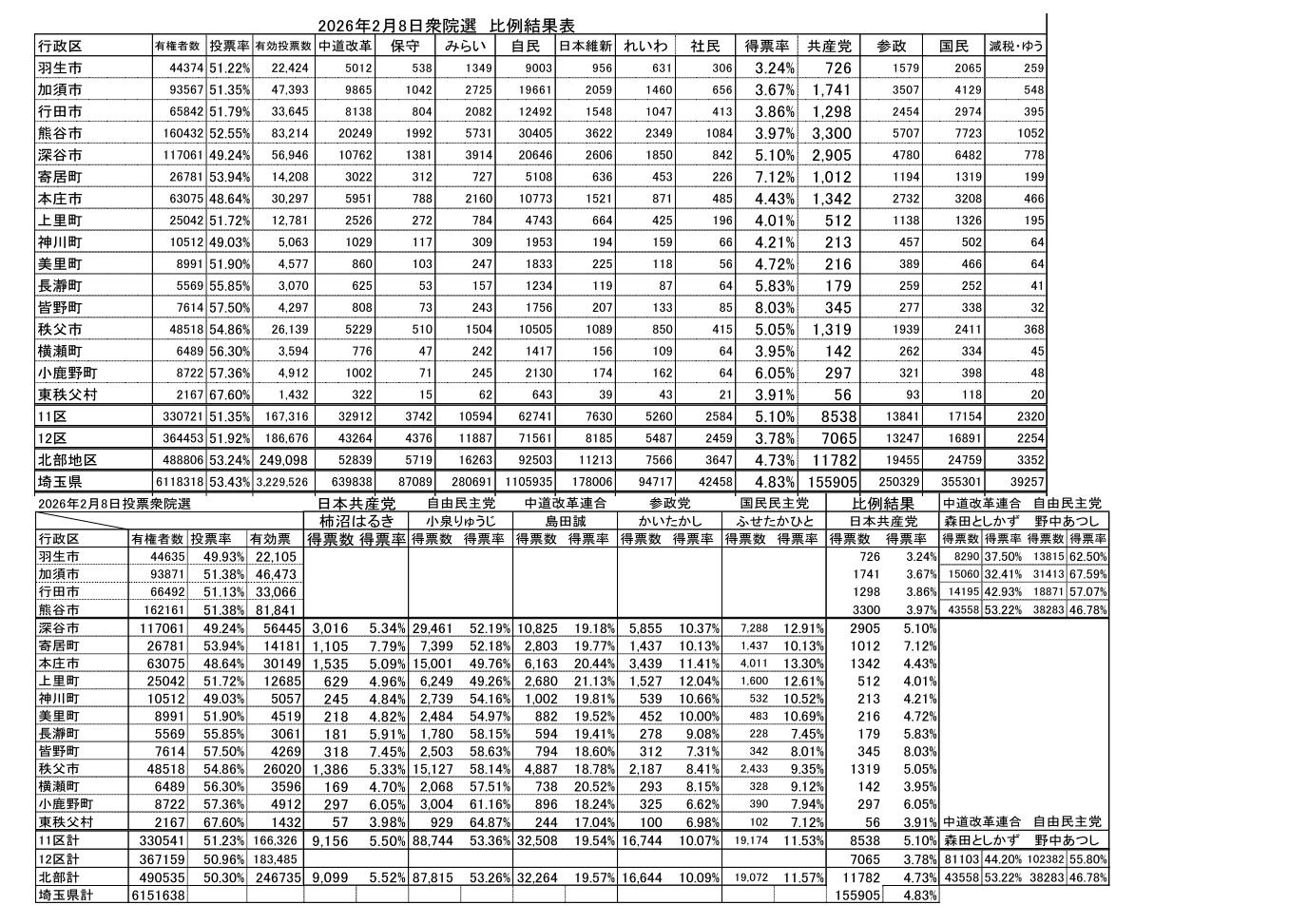
総選挙の埼玉11区 12区 北部地区の各自治比例得票結果
総選挙の結果について
2026年2月8日
2月8日投開票の総選挙で、比例では北関東ブロックで塩川鉄也前衆院議員の当確がでていません。全国で3議席を獲得。(午前0時現在、各種選挙速報より)
小選挙区埼玉11区から立候補した日本共産党の柿沼はるき候補は 9156(得票率5・50%)を獲得しましたが、及びませんでした。当選は、小泉りゅうじ氏(自民)でした。12区では候補者擁立の努力をしましたが擁立できず自主投票としました。当選は野中あつし氏(自民)でした。
「富める者への課税を」「軍拡よりくらしに予算を」のよびかけに共感も集まりました。日本共産党埼玉北部地区委員会は、選挙中に掲げた公約を実現するために、引き続き広範な方々と力をあわせてがんばる決意です。
2026/2/8日本共産党埼玉北部地区委員会
